NOTE: following tests were done in Dec. 2025, which may not reflect latest status of the package.

AimRT 1.4.0-cpp  Performance Test Report

Preface

AimRT’s communication layer is implemented via plugins. Officially supported backends include Iceoryx, ROS2, Zenoh, Net, Grpc, Mqtt, etc., covering common edge and cloud communication scenarios. These plugins provide publish-subscribe (Channel) and request-response (Rpc) communication patterns to enable multi-process communication both locally and across machines.

Test Environment

  • System Environment:

    • OS: 6.1.59-rt16 x86_64 GNU/Linux

    • CPU: 13th Gen Intel® Core™ i5-1350P

    • Total / Available Memory: 62Gi / 38Gi

  • Software Environment:

    • AimRT Version: 1.4.0

Test Items

Tests were conducted using AimRT-cpp. The test items are as follows:

  • Single-machine performance tests

    • Channel backend performance tests

      • Effect of packet size in multi-topic mode

      • Effect of topic count in multi-topic mode

      • Effect of packet size in parallel mode

      • Effect of concurrency in parallel mode

    • Rpc backend performance tests

      • Effect of packet size in bench mode

      • Effect of concurrency in bench mode

      • Effect of packet size in fixed_freq mode

      • Effect of concurrency in fixed_freq mode

  • Multi-machine performance tests

    • Channel backend performance tests

      • Effect of packet size in multi-topic mode

      • Effect of topic count in multi-topic mode

      • Effect of packet size in parallel mode

      • Effect of concurrency in parallel mode

    • Rpc backend performance tests

      • Effect of packet size in bench mode

      • Effect of concurrency in bench mode

      • Effect of packet size in fixed_freq mode

      • Effect of concurrency in fixed_freq mode

Test Results

Single-machine Performance Test (X86)

Channel Backend Performance Tests

Effect of Packet Size in Multi-topic Mode:
  • Purpose: Evaluate single-machine cross-process Channel backend performance under different packet sizes in multi-topic mode

  • Configuration:

    • channel_frequency: 1 kHz

    • pkg_size: 256 B ~ 64 KB (2^8 ~ 2^16, increasing by powers of 2)

    • topic_number: 1

    • parallel_number=1

  • Results:

Effect of Topic Count in Multi-topic Mode:
  • Purpose: Evaluate single-machine cross-process Channel backend performance under different topic counts in multi-topic mode

  • Configuration:

    • channel_frequency: 1 kHz

    • pkg_size: 1024 B

    • topic_number: 1 ~ 10

    • parallel_number=1

  • Results:

Effect of Packet Size in Parallel Mode:
  • Purpose: Evaluate single-machine cross-process Channel backend performance under different packet sizes in parallel mode

  • Configuration:

    • channel_frequency: 1 kHz

    • pkg_size: 1024 B

    • topic_number: 1

    • parallel_number=1 ~ 10

  • Results:

Effect of Concurrency in Parallel Mode:
  • Purpose: Evaluate single-machine cross-process Channel backend performance under different concurrency levels in parallel mode

  • Configuration:

    • channel_frequency: 1 kHz

    • pkg_size: 1024 B

    • topic_number: 1

    • parallel_number=1 ~ 10

  • Results:

Detailed Data

Rpc Backend Performance Tests

Effect of Packet Size in Bench Mode:
  • Purpose: Evaluate single-machine cross-process Rpc backend performance under different packet sizes in bench mode

  • Configuration:

    • mode: bench

    • channel_frequency: 1 kHz

    • pkg_size: 256 B ~ 64 KB (2^8 ~ 2^16, increasing by powers of 2)

    • paraller_number: 1

  • Results:

Effect of Concurrency in Bench Mode:
  • Purpose: Evaluate single-machine cross-process Rpc backend performance under different concurrency levels in bench mode

  • Configuration:

    • mode: bench

    • channel_frequency: 1 kHz

    • pkg_size: 1024 B

    • paraller_number: 1 ~ 10

  • Results:

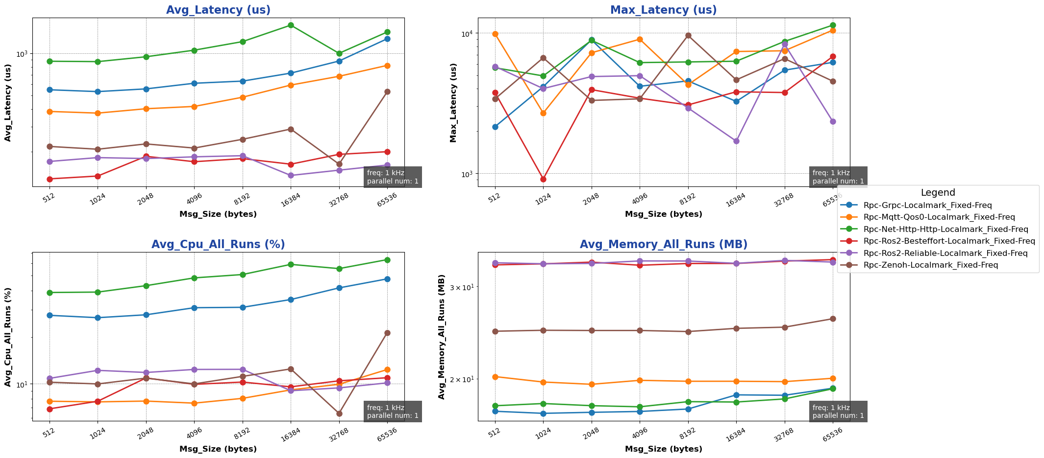
Effect of Packet Size in Fixed-freq Mode:
  • Purpose: Evaluate single-machine cross-process Rpc backend performance under different packet sizes in fixed-freq mode

  • Configuration:

    • mode: fixed-freq

    • channel_frequency: 1 kHz

    • pkg_size: 256 B ~ 64 KB (2^8 ~ 2^16, increasing by powers of 2)

    • paraller_number: 1

  • Results:

Effect of Concurrency in Fixed-freq Mode:
  • Purpose: Evaluate single-machine cross-process Rpc backend performance under different concurrency levels in fixed-freq mode

  • Configuration:

    • mode: fixed-freq

    • channel_frequency: 1 kHz

    • pkg_size: 1024 B

    • paraller_number: 1 ~ 10

  • Results:

Detailed Data

Cross-machine Performance Tests

Channel Backend Performance Tests

Effect of Packet Size in Multi-topic Mode:
  • Purpose: Evaluate single-machine cross-process Channel backend performance under different packet sizes in multi-topic mode

  • Configuration:

    • channel_frequency: 1 kHz

    • pkg_size: 256 B ~ 64 KB (2^8 ~ 2^16, increasing by powers of 2)

    • topic_number: 1

    • parallel_number=1

  • Results:

Effect of Topic Count in Multi-topic Mode:
  • Purpose: Evaluate single-machine cross-process Channel backend performance under different topic counts in multi-topic mode

  • Configuration:

    • channel_frequency: 1 kHz

    • pkg_size: 1024 B

    • topic_number: 1 ~ 10

    • parallel_number=1

  • Results:

Effect of Packet Size in Parallel Mode:
  • Purpose: Evaluate single-machine cross-process Channel backend performance under different packet sizes in parallel mode

  • Configuration:

    • channel_frequency: 1 kHz

    • pkg_size: 1024 B

    • topic_number: 1

    • parallel_number=1 ~ 10

  • Results:

Effect of Concurrency in Parallel Mode:
  • Purpose: Evaluate single-machine cross-process Channel backend performance under different concurrency levels in parallel mode

  • Configuration:

    • channel_frequency: 1 kHz

    • pkg_size: 1024 B

    • topic_number: 1

    • parallel_number=1 ~ 10

  • Results:

Detailed Data

Rpc Backend Performance Tests

Effect of Packet Size in Bench Mode:
  • Purpose: Evaluate single-machine cross-process Rpc backend performance under different packet sizes in bench mode

  • Configuration:

    • mode: bench

    • channel_frequency: 1 kHz

    • pkg_size: 256 B ~ 64 KB (2^8 ~ 2^16, increasing by powers of 2)

    • paraller_number: 1

  • Results:

Effect of Concurrency in Bench Mode:
  • Purpose: Evaluate single-machine cross-process Rpc backend performance under different concurrency levels in bench mode

  • Configuration:

    • mode: bench

    • channel_frequency: 1 kHz

    • pkg_size: 1024 B

    • paraller_number: 1 ~ 10

  • Results:

Effect of Packet Size in Fixed-freq Mode:
  • Purpose: Evaluate single-machine cross-process Rpc backend performance under different packet sizes in fixed-freq mode

  • Configuration:

    • mode: fixed-freq

    • channel_frequency: 1 kHz

    • pkg_size: 256 B ~ 64 KB (2^8 ~ 2^16, increasing by powers of 2)

    • paraller_number: 1

  • Results:

Effect of Concurrency in Fixed-freq Mode:
  • Purpose: Evaluate single-machine cross-process Rpc backend performance under different concurrency levels in fixed-freq mode

  • Configuration:

    • mode: fixed-freq

    • channel_frequency: 1 kHz

    • pkg_size: 1024 B

    • paraller_number: 1 ~ 10

  • Results:

Detailed Data