| NOTE: following tests were done in Dec. 2025, which may not reflect latest status of the package. |
AimRT 1.4.0-cpp Performance Test Report
Preface
AimRT’s communication layer is implemented via plugins. Officially supported backends include Iceoryx, ROS2, Zenoh, Net, Grpc, Mqtt, etc., covering common edge and cloud communication scenarios. These plugins provide publish-subscribe (Channel) and request-response (Rpc) communication patterns to enable multi-process communication both locally and across machines.
Test Environment
System Environment:
OS: 6.1.59-rt16 x86_64 GNU/Linux
CPU: 13th Gen Intel® Core™ i5-1350P
Total / Available Memory: 62Gi / 38Gi
Software Environment:
AimRT Version: 1.4.0
Test Items
Tests were conducted using AimRT-cpp. The test items are as follows:
Single-machine performance tests
Channel backend performance tests
Effect of packet size in multi-topic mode
Effect of topic count in multi-topic mode
Effect of packet size in parallel mode
Effect of concurrency in parallel mode
Rpc backend performance tests
Effect of packet size in bench mode
Effect of concurrency in bench mode
Effect of packet size in fixed_freq mode
Effect of concurrency in fixed_freq mode
Multi-machine performance tests
Channel backend performance tests
Effect of packet size in multi-topic mode
Effect of topic count in multi-topic mode
Effect of packet size in parallel mode
Effect of concurrency in parallel mode
Rpc backend performance tests
Effect of packet size in bench mode
Effect of concurrency in bench mode
Effect of packet size in fixed_freq mode
Effect of concurrency in fixed_freq mode
Test Results
Single-machine Performance Test (X86)
Channel Backend Performance Tests
Effect of Packet Size in Multi-topic Mode:
Purpose: Evaluate single-machine cross-process Channel backend performance under different
packet sizesin multi-topic modeConfiguration:
channel_frequency: 1 kHz
pkg_size: 256 B ~ 64 KB (2^8 ~ 2^16, increasing by powers of 2)
topic_number: 1
parallel_number=1
Results:

Effect of Topic Count in Multi-topic Mode:
Purpose: Evaluate single-machine cross-process Channel backend performance under different
topic countsin multi-topic modeConfiguration:
channel_frequency: 1 kHz
pkg_size: 1024 B
topic_number: 1 ~ 10
parallel_number=1
Results:

Effect of Packet Size in Parallel Mode:
Purpose: Evaluate single-machine cross-process Channel backend performance under different
packet sizesin parallel modeConfiguration:
channel_frequency: 1 kHz
pkg_size: 1024 B
topic_number: 1
parallel_number=1 ~ 10
Results:

Effect of Concurrency in Parallel Mode:
Purpose: Evaluate single-machine cross-process Channel backend performance under different
concurrency levelsin parallel modeConfiguration:
channel_frequency: 1 kHz
pkg_size: 1024 B
topic_number: 1
parallel_number=1 ~ 10
Results:

Rpc Backend Performance Tests
Effect of Packet Size in Bench Mode:
Purpose: Evaluate single-machine cross-process Rpc backend performance under different
packet sizesin bench modeConfiguration:
mode: bench
channel_frequency: 1 kHz
pkg_size: 256 B ~ 64 KB (2^8 ~ 2^16, increasing by powers of 2)
paraller_number: 1
Results:

Effect of Concurrency in Bench Mode:
Purpose: Evaluate single-machine cross-process Rpc backend performance under different
concurrency levelsin bench modeConfiguration:
mode: bench
channel_frequency: 1 kHz
pkg_size: 1024 B
paraller_number: 1 ~ 10
Results:

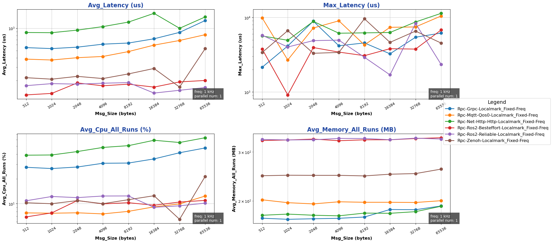
Effect of Packet Size in Fixed-freq Mode:
Purpose: Evaluate single-machine cross-process Rpc backend performance under different
packet sizesin fixed-freq modeConfiguration:
mode: fixed-freq
channel_frequency: 1 kHz
pkg_size: 256 B ~ 64 KB (2^8 ~ 2^16, increasing by powers of 2)
paraller_number: 1
Results:

Effect of Concurrency in Fixed-freq Mode:
Purpose: Evaluate single-machine cross-process Rpc backend performance under different
concurrency levelsin fixed-freq modeConfiguration:
mode: fixed-freq
channel_frequency: 1 kHz
pkg_size: 1024 B
paraller_number: 1 ~ 10
Results:

Cross-machine Performance Tests
Channel Backend Performance Tests
Effect of Packet Size in Multi-topic Mode:
Purpose: Evaluate single-machine cross-process Channel backend performance under different
packet sizesin multi-topic modeConfiguration:
channel_frequency: 1 kHz
pkg_size: 256 B ~ 64 KB (2^8 ~ 2^16, increasing by powers of 2)
topic_number: 1
parallel_number=1
Results:

Effect of Topic Count in Multi-topic Mode:
Purpose: Evaluate single-machine cross-process Channel backend performance under different
topic countsin multi-topic modeConfiguration:
channel_frequency: 1 kHz
pkg_size: 1024 B
topic_number: 1 ~ 10
parallel_number=1
Results:

Effect of Packet Size in Parallel Mode:
Purpose: Evaluate single-machine cross-process Channel backend performance under different
packet sizesin parallel modeConfiguration:
channel_frequency: 1 kHz
pkg_size: 1024 B
topic_number: 1
parallel_number=1 ~ 10
Results:

Effect of Concurrency in Parallel Mode:
Purpose: Evaluate single-machine cross-process Channel backend performance under different
concurrency levelsin parallel modeConfiguration:
channel_frequency: 1 kHz
pkg_size: 1024 B
topic_number: 1
parallel_number=1 ~ 10
Results:

Rpc Backend Performance Tests
Effect of Packet Size in Bench Mode:
Purpose: Evaluate single-machine cross-process Rpc backend performance under different
packet sizesin bench modeConfiguration:
mode: bench
channel_frequency: 1 kHz
pkg_size: 256 B ~ 64 KB (2^8 ~ 2^16, increasing by powers of 2)
paraller_number: 1
Results:

Effect of Concurrency in Bench Mode:
Purpose: Evaluate single-machine cross-process Rpc backend performance under different
concurrency levelsin bench modeConfiguration:
mode: bench
channel_frequency: 1 kHz
pkg_size: 1024 B
paraller_number: 1 ~ 10
Results:

Effect of Packet Size in Fixed-freq Mode:
Purpose: Evaluate single-machine cross-process Rpc backend performance under different
packet sizesin fixed-freq modeConfiguration:
mode: fixed-freq
channel_frequency: 1 kHz
pkg_size: 256 B ~ 64 KB (2^8 ~ 2^16, increasing by powers of 2)
paraller_number: 1
Results:

Effect of Concurrency in Fixed-freq Mode:
Purpose: Evaluate single-machine cross-process Rpc backend performance under different
concurrency levelsin fixed-freq modeConfiguration:
mode: fixed-freq
channel_frequency: 1 kHz
pkg_size: 1024 B
paraller_number: 1 ~ 10
Results:
